ee : γ*/Z (hadronic)

Aplanarity B(Total) B(Max) B(Min) ΔB(Max-Min) C parameter D parameter EEC EEC Asymmetry M(Heavy Hemisph) M(Light Hemisph) ΔM(Heavy-Light) Planarity Sphericity Thrust 1-Thrust Thrust Major Thrust Minor Thrust Oblateness

ee : γ*/Z (hadronic) : Identified Particles : π spectrum

ℹ️Choose generators/versions/tunes to plot : either from a pre-defined preset (left button) or from all available MCs (right button)

ee @ 91.2 GeV

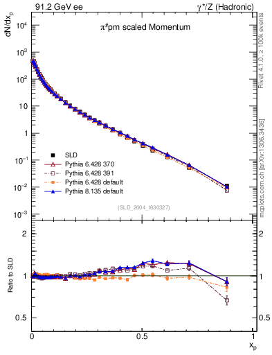
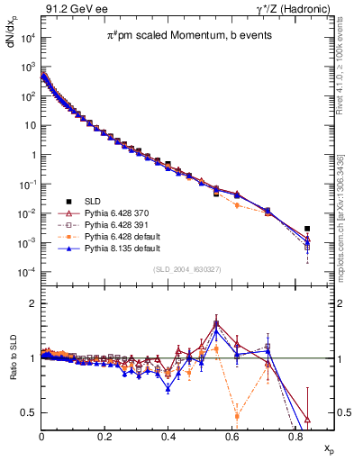
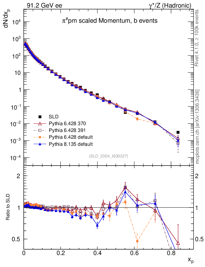
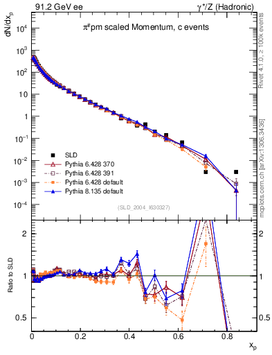
Plot of xpi in 91.2 GeV ee collisions
Plot of xpi in 91.2 GeV ee collisions
Plot of xpi in 91.2 GeV ee collisions
Plot of xpi in 91.2 GeV ee collisions
Plot of xpi in 91.2 GeV ee collisions
Plot of xpi in 91.2 GeV ee collisions