LHC@HOME
CARDS
COMPARISON
Tunes
Generators
PLOTS
Elastic
Heavy Ion : minbias
Soft QCD (inelastic)
Soft QCD (nsd only)
Total σ
Underlying Event
ee : γ*/Z (hadronic)
ABOUT
ee : γ*/Z (hadronic)
Aplanarity
B(Total)
B(Max)
B(Min)
ΔB(Max-Min)
C parameter
D parameter
EEC
EEC Asymmetry
M(Heavy Hemisph)
M(Light Hemisph)
ΔM(Heavy-Light)
Planarity
Sphericity
Thrust
1-Thrust
Thrust Major
Thrust Minor
Thrust Oblateness
Charm and Bottom
f
weak
Mean of f
weak
B multiplicity
D multiplicity
D
*
multiplicity
Λ
b
multiplicity
D
*
spectrum
Event-Shape Moments
Moments of B
tot
Moments of B
max
Moments of B
min
Moments of C
Moments of M
H
Moments of M
L
Moments of O
Moments of S
Moments of 1-T
Moments of T Major
Moments of T Minor
Moments of Y23
Identified Particles
(R
q
K
-
-R
q
K
+
) / (R
q
K
-
+R
q
K
+
)
(R
q
π
-
-R
q
π
+
) / (R
q
π
-
+R
q
π
+
)
(R
q
p
-R
q
p̄
) / (R
q
p
+R
q
p̄
)
Δ++ multiplicity
η multiplicity
η' multiplicity
K multiplicity
K
*
(892) multiplicity
Λ
0
multiplicity
Ω multiplicity
p multiplicity
φ multiplicity
π multiplicity
ρ multiplicity
Σ(1385) multiplicity
Ξ multiplicity
Ξ(1530) multiplicity
N(q→K
-
)+N(q̄→K
+
)
N(q→K
+
)+N(q̄→K
-
)
N(q→π
-
)+N(q̄→π
+
)
N(q→π
+
)+N(q̄→π
-
)
N(q→p̄)+N(q̄→p)
N(q→p)+N(q̄→p̄)
η spectrum
η' spectrum
γ spectrum
K spectrum
K
*
(892) spectrum
Λ
0
spectrum
ω(782) spectrum
p spectrum
φ spectrum
π spectrum
ρ spectrum
Σ(1385) spectrum
Ξ spectrum
Ξ(1530) spectrum
Charged Particles
Multiplicity Distribution
<N
ch
>
<N
ch,uds
> - <N
ch,b
>
<N
ch,uds
> - <N
ch,c
>
pTin (Sph)
pTin (Thrust)
pTout (Sph)
pTout (Thrust)
<pTout> vs x (Thrust)
<pT> vs x (Thrust)
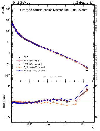
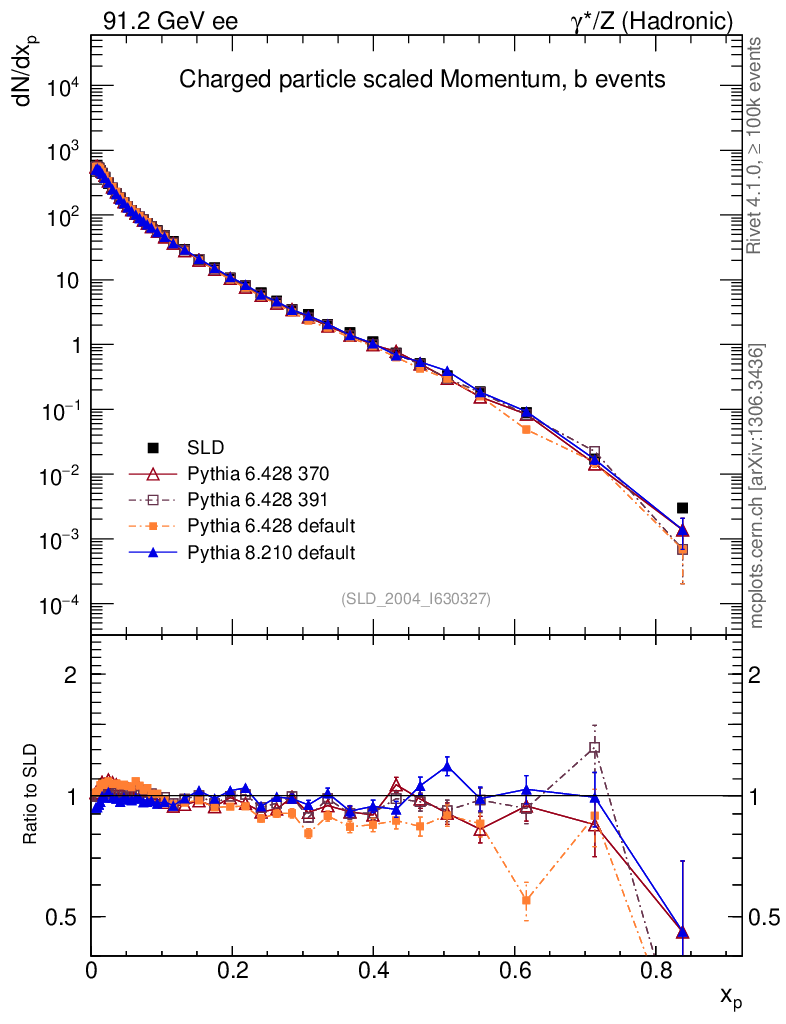
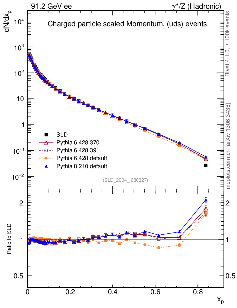
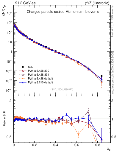
x
p
(momentum fraction)
x
E
(energy fraction)
Ln(x
p
)
Rapidity wrt Sphericity axis
Rapidity wrt Thrust axis
Jet rates
One-jet fraction
Two-jet fraction
Three-jet fraction
Four-jet fraction
Five-jet fraction
>Six-jet fraction
Jet resolution
y
12
y
23
y
34
y
45
y
56
ee : γ*/Z (hadronic) : Charged Particles : x
p
(momentum fraction)
Pythia 6 : Py6 vs Py8
General-Purpose MCs
Main
Herwig vs Pythia
Pythia 6 vs 8
All C++ Generators
Soft-Inclusive MCs
Min-Bias Tunes
UE Tunes
EPOS vs Pythia
Pythia 8
Matched/Merged MCs
vs GPMCs
Powheg-Box
Herwig
Herwig7 vs Pythia
Pythia 8
Main
A14
AU2-PDFs
Diffraction
LEP
Rad Variations
No CR
4Cx
Tevatron
Py8 vs Py6
Py8 vs Herwig
Py8 vs Sherpa
Pythia 6
Py6 vs Py8
Sherpa
Main
Customize
ℹ️
Choose generators/versions/tunes to plot : either from a pre-defined preset (left button) or from all available MCs (right button)
ee @ 206 GeV
details
Download as:
.pdf
.eps
.png
.script
.script.tgz
#
Analysis ID:
ALEPH_2004_S5765862
Hist ID:
/ALEPH_2004_S5765862/d09-x01-y01
ALEPH experiment:
data
|
article paper
ee @ 200 GeV
details
Download as:
.pdf
.eps
.png
.script
.script.tgz
#
Analysis ID:
ALEPH_2004_S5765862
Hist ID:
/ALEPH_2004_S5765862/d08-x01-y01
ALEPH experiment:
data
|
article paper
ee @ 189 GeV
details
Download as:
.pdf
.eps
.png
.script
.script.tgz
#
Analysis ID:
ALEPH_2004_S5765862
Hist ID:
/ALEPH_2004_S5765862/d06-x01-y01
ALEPH experiment:
data
|
article paper
ee @ 133 GeV
details
Download as:
.pdf
.eps
.png
.script
.script.tgz
#
Analysis ID:
ALEPH_2004_S5765862
Hist ID:
/ALEPH_2004_S5765862/d02-x01-y01
ALEPH experiment:
data
|
article paper
ee @ 91 GeV
details
Download as:
.pdf
.eps
.png
.script
.script.tgz
#
Analysis ID:
ALEPH_1996_S3486095
Hist ID:
/ALEPH_1996_S3486095/d09-x01-y01
ALEPH experiment:
data
|
article paper
details
Download as:
.pdf
.eps
.png
.script
.script.tgz
#
Analysis ID:
DELPHI_1996_S3430090
Hist ID:
/DELPHI_1996_S3430090/d07-x01-y01
DELPHI experiment:
data
|
article paper
details
Download as:
.pdf
.eps
.png
.script
.script.tgz
#
Analysis ID:
OPAL_1998_S3780481
Hist ID:
/OPAL_1998_S3780481/d04-x01-y01
OPAL experiment:
data
|
article paper
details
Download as:
.pdf
.eps
.png
.script
.script.tgz
#
Analysis ID:
OPAL_1998_S3780481
Hist ID:
/OPAL_1998_S3780481/d03-x01-y01
OPAL experiment:
data
|
article paper
details
Download as:
.pdf
.eps
.png
.script
.script.tgz
#
Analysis ID:
OPAL_1998_S3780481
Hist ID:
/OPAL_1998_S3780481/d02-x01-y01
OPAL experiment:
data
|
article paper
details
Download as:
.pdf
.eps
.png
.script
.script.tgz
#
Analysis ID:
OPAL_1998_S3780481
Hist ID:
/OPAL_1998_S3780481/d01-x01-y01
OPAL experiment:
data
|
article paper
details
Download as:
.pdf
.eps
.png
.script
.script.tgz
#
Analysis ID:
SLD_2004_S5693039
Hist ID:
/SLD_2004_S5693039/d08-x01-y03
SLD experiment:
data
|
article paper
details
Download as:
.pdf
.eps
.png
.script
.script.tgz
#
Analysis ID:
SLD_2004_S5693039
Hist ID:
/SLD_2004_S5693039/d08-x01-y02
SLD experiment:
data
|
article paper
details
Download as:
.pdf
.eps
.png
.script
.script.tgz
#
Analysis ID:
SLD_2004_S5693039
Hist ID:
/SLD_2004_S5693039/d01-x01-y01
SLD experiment:
data
|
article paper
details
Download as:
.pdf
.eps
.png
.script
.script.tgz
#
Analysis ID:
SLD_2004_S5693039
Hist ID:
/SLD_2004_S5693039/d08-x01-y01
SLD experiment:
data
|
article paper