LHC@HOME
CARDS
COMPARISON
Tunes
Generators
PLOTS
4-lepton
b
b
Elastic
Heavy Ion : minbias
Jets
Soft QCD (inelastic)
Soft QCD (nsd only)
Total σ
Top (t-channel)
Top (all)
Top (parton level)
Top (t
t
)
Underlying Event
W+Jet
W
WW
Z+Jet
ee : γ*/Z (hadronic)
Z (Drell-Yan)
ABOUT
Top (t
t
)
Asymmetry
A
C
vs M
ttbar
A
C
vs pT
ttbar
A
C
vs y
ttbar
A
C
l
vs M
ttbar
A
C
l
vs pT
ttbar
A
C
l
vs y
ttbar
Energy asymmetry
B jet
η
p
T
bjbj.m
bjbj.pt
bjt.dphi
ej.pt
ejej.dphi
ΔR(extra jets)
ejets.ht
ΔR(extra, leading jet)
ΔR(top, extra jet)
Jet p
T
Lepton η
Lepton p
T
Δφ(lepton,jet)
S
T
(leptons, jets)
nch
sumpt
P
out
top
Top p
T
top.pt.ttbarRF
Top rapidity
topej.dphi
topej.m
χ(ttbar)
Δφ(ttbar)
Δy (ttbar)
ttbar HT
m(ttbar)
P
cross
ttbar
ttbar p
T
ttbar.thetaStar
Ttbar rapidity
Mean rapidity
ttbarej.ht
ttbarej.m
Cross sections
p
T
ratio
Extra jets
Extra to leading jet
Extra jet to Top
Top quarks
ttbar to extra jet
W to b
W to top
Jets + Veto
Gap frac. vs Veto scale
Gap frac. vs scalar veto scale
Jet mass
Jet mass
Dijet mass
Dijet
Δη
Δφ
H
T
Jet Shapes
Differential Jet Shape
Integral Jet Shape
Identified Particles
E(K
S
0
)
η(K
S
0
)
p
T
(K
S
0
)
E(K
S
0
) to E(jet) ratio
E(Λ
0
)
η(Λ
0
)
p
T
(Λ
0
)
Dilepton
Δη
Δφ
E
H
T
m
p
T
y
Jet Multiplicities
Extra jets multiplicity
Jet multiplicity
Subjet multiplicity
Top (t
t
) : Jet Shapes : Differential Jet Shape
Pythia 6 : Old vs P12
General-Purpose MCs
Main
Herwig vs Pythia
Pythia 6 vs 8
All C++ Generators
Soft-Inclusive MCs
Min-Bias Tunes
UE Tunes
EPOS vs Pythia
Pythia 8
Matched/Merged MCs
Main
vs GPMCs
Powheg-Box
Herwig
Main
Herwig++
Powheg
Herwig7 vs Pythia
Herwig7 vs Sherpa
Pythia 8
Main
A14
AU2-PDFs
Diffraction
LEP
Rad Variations
No CR
4Cx
Tevatron
Py8 vs Py6
Py8 vs Herwig
Py8 vs Sherpa
Pythia 6
Main
Py6 vs Py8
P12-RadFrag
P12-MpiCR
AMBT2 vs Z2
AUET2B-PDFs
P12-PDFs
CTEQ6 vs LO*
IBK LOPDFs
IBK NLOPDFs
Perugia History
P11-All
LHC tunes
Tevatron
Old vs P12
Sherpa
Main
Matching/Merging
Customize
ℹ️
Choose generators/versions/tunes to plot : either from a pre-defined preset (left button) or from all available MCs (right button)
pp @ 7000 GeV
details
Download as:
.pdf
.eps
.png
.script
#
Analysis ID:
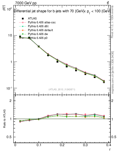
ATLAS_2013_I1243871
Hist ID:
/ATLAS_2013_I1243871/d05-x01-y01
ATLAS experiment:
data
|
article paper
|
hepdata
Pythia 6 (306:ATLAS-CSC):
data
|
generator card
Pythia 6 (109:D6T):
data
|
generator card
Pythia 6 (Def):
data
|
generator card
Pythia 6 (103:DW):
data
|
generator card
Pythia 6 (320:P0):
data
|
generator card
details
Download as:
.pdf
.eps
.png
.script
#
Analysis ID:
ATLAS_2013_I1243871
Hist ID:
/ATLAS_2013_I1243871/d05-x02-y01
ATLAS experiment:
data
|
article paper
|
hepdata
Pythia 6 (306:ATLAS-CSC):
data
|
generator card
Pythia 6 (109:D6T):
data
|
generator card
Pythia 6 (Def):
data
|
generator card
Pythia 6 (103:DW):
data
|
generator card
Pythia 6 (320:P0):
data
|
generator card
details
Download as:
.pdf
.eps
.png
.script
#
Analysis ID:
ATLAS_2013_I1243871
Hist ID:
/ATLAS_2013_I1243871/d01-x01-y01
ATLAS experiment:
data
|
article paper
|
hepdata
Pythia 6 (306:ATLAS-CSC):
data
|
generator card
Pythia 6 (109:D6T):
data
|
generator card
Pythia 6 (Def):
data
|
generator card
Pythia 6 (103:DW):
data
|
generator card
Pythia 6 (320:P0):
data
|
generator card
details
Download as:
.pdf
.eps
.png
.script
#
Analysis ID:
ATLAS_2013_I1243871
Hist ID:
/ATLAS_2013_I1243871/d01-x02-y01
ATLAS experiment:
data
|
article paper
|
hepdata
Pythia 6 (306:ATLAS-CSC):
data
|
generator card
Pythia 6 (109:D6T):
data
|
generator card
Pythia 6 (Def):
data
|
generator card
Pythia 6 (103:DW):
data
|
generator card
Pythia 6 (320:P0):
data
|
generator card
details
Download as:
.pdf
.eps
.png
.script
#
Analysis ID:
ATLAS_2013_I1243871
Hist ID:
/ATLAS_2013_I1243871/d02-x01-y01
ATLAS experiment:
data
|
article paper
|
hepdata
Pythia 6 (306:ATLAS-CSC):
data
|
generator card
Pythia 6 (109:D6T):
data
|
generator card
Pythia 6 (Def):
data
|
generator card
Pythia 6 (103:DW):
data
|
generator card
Pythia 6 (320:P0):
data
|
generator card
details
Download as:
.pdf
.eps
.png
.script
#
Analysis ID:
ATLAS_2013_I1243871
Hist ID:
/ATLAS_2013_I1243871/d02-x02-y01
ATLAS experiment:
data
|
article paper
|
hepdata
Pythia 6 (306:ATLAS-CSC):
data
|
generator card
Pythia 6 (109:D6T):
data
|
generator card
Pythia 6 (Def):
data
|
generator card
Pythia 6 (103:DW):
data
|
generator card
Pythia 6 (320:P0):
data
|
generator card
details
Download as:
.pdf
.eps
.png
.script
#
Analysis ID:
ATLAS_2013_I1243871
Hist ID:
/ATLAS_2013_I1243871/d03-x01-y01
ATLAS experiment:
data
|
article paper
|
hepdata
Pythia 6 (306:ATLAS-CSC):
data
|
generator card
Pythia 6 (109:D6T):
data
|
generator card
Pythia 6 (Def):
data
|
generator card
Pythia 6 (103:DW):
data
|
generator card
Pythia 6 (320:P0):
data
|
generator card
details
Download as:
.pdf
.eps
.png
.script
#
Analysis ID:
ATLAS_2013_I1243871
Hist ID:
/ATLAS_2013_I1243871/d03-x02-y01
ATLAS experiment:
data
|
article paper
|
hepdata
Pythia 6 (306:ATLAS-CSC):
data
|
generator card
Pythia 6 (109:D6T):
data
|
generator card
Pythia 6 (Def):
data
|
generator card
Pythia 6 (103:DW):
data
|
generator card
Pythia 6 (320:P0):
data
|
generator card
details
Download as:
.pdf
.eps
.png
.script
#
Analysis ID:
ATLAS_2013_I1243871
Hist ID:
/ATLAS_2013_I1243871/d04-x01-y01
ATLAS experiment:
data
|
article paper
|
hepdata
Pythia 6 (306:ATLAS-CSC):
data
|
generator card
Pythia 6 (109:D6T):
data
|
generator card
Pythia 6 (Def):
data
|
generator card
Pythia 6 (103:DW):
data
|
generator card
Pythia 6 (320:P0):
data
|
generator card
details
Download as:
.pdf
.eps
.png
.script
#
Analysis ID:
ATLAS_2013_I1243871
Hist ID:
/ATLAS_2013_I1243871/d04-x02-y01
ATLAS experiment:
data
|
article paper
|
hepdata
Pythia 6 (306:ATLAS-CSC):
data
|
generator card
Pythia 6 (109:D6T):
data
|
generator card
Pythia 6 (Def):
data
|
generator card
Pythia 6 (103:DW):
data
|
generator card
Pythia 6 (320:P0):
data
|
generator card