LHC@HOME
CARDS
COMPARISON
Tunes
Generators
PLOTS
4-lepton
b
b
Elastic
Heavy Ion : minbias
Jets
Soft QCD (inelastic)
Soft QCD (nsd only)
Total σ
Top (t-channel)
Top (all)
Top (parton level)
Top (t
t
)
Underlying Event
W+Jet
W
WW
Z+Jet
ee : γ*/Z (hadronic)
Z (Drell-Yan)
ABOUT
Heavy Ion : minbias
hi.d0.pt
hi.dp.pt
hi.dp_d0.pt
hi.ds.pt
hi.ds_d0.pt
Primary particles
η
p
T
spectra
ρ
0
<p
T
>
p
T
ρ
0
/π
vs N
ch
vs p
T
(AUX) pp results
Primary particles p
T
p
T
(π)
p
T
(ρ
0
)
p
T
(ρ
0
/π)
RAA
Primary particles p
T
p
T
(ρ
0
)
Heavy Ion : minbias : Primary particles : p
T
spectra
Sherpa : Main
General-Purpose MCs
Main
Herwig vs Pythia
Pythia 6 vs 8
All C++ Generators
Soft-Inclusive MCs
Min-Bias Tunes
UE Tunes
EPOS vs Pythia
Pythia 8
Matched/Merged MCs
vs GPMCs
Powheg-Box
Herwig
Herwig7 vs Pythia
Pythia 8
Main
A14
AU2-PDFs
Diffraction
LEP
Rad Variations
No CR
4Cx
Tevatron
Py8 vs Py6
Py8 vs Herwig
Py8 vs Sherpa
Pythia 6
Py6 vs Py8
Sherpa
Main
Customize
ℹ️
Choose generators/versions/tunes to plot : either from a pre-defined preset (left button) or from all available MCs (right button)
PbPb @ 2760 GeV
details
Download as:
.pdf
.eps
.png
.script
#
Analysis ID:
ALICE_2012_I1127497
Hist ID:
/ALICE_2012_I1127497/d15-x01-y01
ALICE experiment:
data
|
article paper
|
hepdata
details
Download as:
.pdf
.eps
.png
.script
#
Analysis ID:
ALICE_2012_I1127497
Hist ID:
/ALICE_2012_I1127497/d14-x01-y01
ALICE experiment:
data
|
article paper
|
hepdata
details
Download as:
.pdf
.eps
.png
.script
#
Analysis ID:
ALICE_2012_I1127497
Hist ID:
/ALICE_2012_I1127497/d13-x01-y01
ALICE experiment:
data
|
article paper
|
hepdata
details
Download as:
.pdf
.eps
.png
.script
#
Analysis ID:
ALICE_2012_I1127497
Hist ID:
/ALICE_2012_I1127497/d12-x01-y01
ALICE experiment:
data
|
article paper
|
hepdata
details
Download as:
.pdf
.eps
.png
.script
#
Analysis ID:
ALICE_2012_I1127497
Hist ID:
/ALICE_2012_I1127497/d11-x01-y01
ALICE experiment:
data
|
article paper
|
hepdata
details
Download as:
.pdf
.eps
.png
.script
#
Analysis ID:
ALICE_2012_I1127497
Hist ID:
/ALICE_2012_I1127497/d10-x01-y01
ALICE experiment:
data
|
article paper
|
hepdata
details
Download as:
.pdf
.eps
.png
.script
#
Analysis ID:
ALICE_2012_I1127497
Hist ID:
/ALICE_2012_I1127497/d09-x01-y01
ALICE experiment:
data
|
article paper
|
hepdata
details
Download as:
.pdf
.eps
.png
.script
#
Analysis ID:
ALICE_2012_I1127497
Hist ID:
/ALICE_2012_I1127497/d01-x01-y01
ALICE experiment:
data
|
article paper
|
hepdata
details
Download as:
.pdf
.eps
.png
.script
#
Analysis ID:
ALICE_2012_I1127497
Hist ID:
/ALICE_2012_I1127497/d02-x01-y01
ALICE experiment:
data
|
article paper
|
hepdata
details
Download as:
.pdf
.eps
.png
.script
#
Analysis ID:
ALICE_2012_I1127497
Hist ID:
/ALICE_2012_I1127497/d03-x01-y01
ALICE experiment:
data
|
article paper
|
hepdata
details
Download as:
.pdf
.eps
.png
.script
#
Analysis ID:
ALICE_2012_I1127497
Hist ID:
/ALICE_2012_I1127497/d08-x01-y01
ALICE experiment:
data
|
article paper
|
hepdata
details
Download as:
.pdf
.eps
.png
.script
#
Analysis ID:
ALICE_2012_I1127497
Hist ID:
/ALICE_2012_I1127497/d05-x01-y01
ALICE experiment:
data
|
article paper
|
hepdata
details
Download as:
.pdf
.eps
.png
.script
#
Analysis ID:
ALICE_2012_I1127497
Hist ID:
/ALICE_2012_I1127497/d06-x01-y01
ALICE experiment:
data
|
article paper
|
hepdata
details
Download as:
.pdf
.eps
.png
.script
#
Analysis ID:
ALICE_2012_I1127497
Hist ID:
/ALICE_2012_I1127497/d07-x01-y01
ALICE experiment:
data
|
article paper
|
hepdata
details
Download as:
.pdf
.eps
.png
.script
#
Analysis ID:
ALICE_2012_I1127497
Hist ID:
/ALICE_2012_I1127497/d04-x01-y01
ALICE experiment:
data
|
article paper
|
hepdata
details
Download as:
.pdf
.eps
.png
.script
#
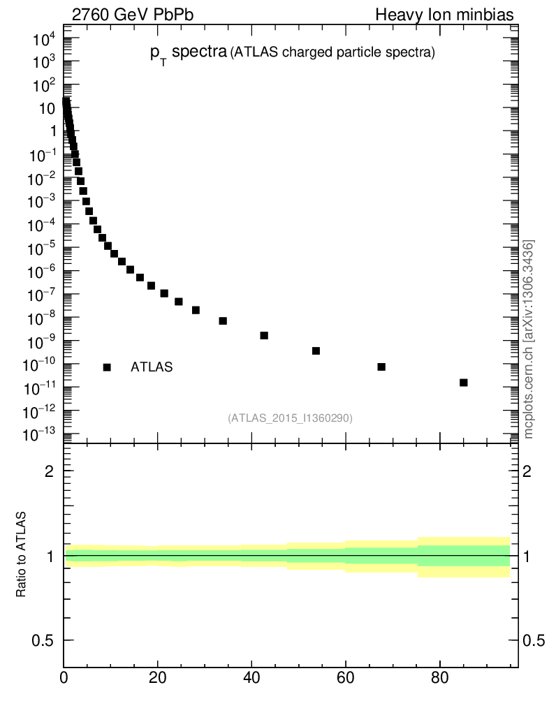
Analysis ID:
ATLAS_2015_I1360290
Hist ID:
/ATLAS_2015_I1360290/d09-x01-y01
ATLAS experiment:
data
|
article paper
|
hepdata
details
Download as:
.pdf
.eps
.png
.script
#
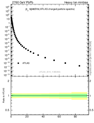
Analysis ID:
ATLAS_2015_I1360290
Hist ID:
/ATLAS_2015_I1360290/d08-x01-y01
ATLAS experiment:
data
|
article paper
|
hepdata
details
Download as:
.pdf
.eps
.png
.script
#
Analysis ID:
ATLAS_2015_I1360290
Hist ID:
/ATLAS_2015_I1360290/d06-x01-y01
ATLAS experiment:
data
|
article paper
|
hepdata
details
Download as:
.pdf
.eps
.png
.script
#
Analysis ID:
ATLAS_2015_I1360290
Hist ID:
/ATLAS_2015_I1360290/d02-x01-y01
ATLAS experiment:
data
|
article paper
|
hepdata
details
Download as:
.pdf
.eps
.png
.script
#
Analysis ID:
ATLAS_2015_I1360290
Hist ID:
/ATLAS_2015_I1360290/d03-x01-y01
ATLAS experiment:
data
|
article paper
|
hepdata
details
Download as:
.pdf
.eps
.png
.script
#
Analysis ID:
ATLAS_2015_I1360290
Hist ID:
/ATLAS_2015_I1360290/d07-x01-y01
ATLAS experiment:
data
|
article paper
|
hepdata
details
Download as:
.pdf
.eps
.png
.script
#
Analysis ID:
ATLAS_2015_I1360290
Hist ID:
/ATLAS_2015_I1360290/d04-x01-y01
ATLAS experiment:
data
|
article paper
|
hepdata
details
Download as:
.pdf
.eps
.png
.script
#
Analysis ID:
ATLAS_2015_I1360290
Hist ID:
/ATLAS_2015_I1360290/d05-x01-y01
ATLAS experiment:
data
|
article paper
|
hepdata